MusicaInfo
neueste Meldung in Musicainfo.blog
Musicainfo Linkedin - hier klicken
Startseite | Suche | Warenkorb | Mein Konto | Mein Radio | Blog | Registrieren | Anmelden English|Español|Français|Italiano|Nederlands
 Datenbank Note
Notenblätter/Partituren
CDs/DVDs
Fachbücher
Accessoires
Unterkategorien
Komponisten/Mitwirkende
Musikverlage
Auslieferungspartner
Abkürzungen/Lexikon
Tags (Musik nach Themen)
Blog
Radio
Schnellsuche:
 Infos Note
Wer sind wir?
Wertungsstücke (at, ch, de)
Kontakt
Folge uns auf LinkedIn!
neueste Meldung in Musicainfo.blog
Musicainfo Linkedin - hier klicken
Notenblätter/PartiturenNotenblätter/Partituren
Dance Movements - klicken für größeres Bild
klicken für größeres Bild
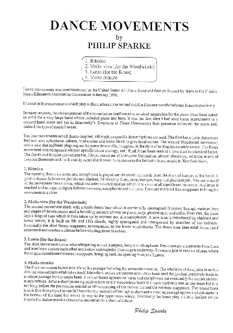
Dance Movements - Notenbeispiel
Notenbeispiel
Titel Dance Movements
Artikel-Nr. 9142001
Kategorie Blasorchester/HaFaBra
Unterkategorie Zeitgenössische Bläsermusik (1945-heute)
Besetzung Ha (Blasorchester)
Format/Umfang PrtStm (Partitur und Stimmen)
Erscheinungsland UK (uk)
Verlag * Felder mit einem Sternchen (*) sind nur für Vereinsmitglieder nach Anmeldung ersichtlichhier klicken
Verlags-Artikelnr. * Felder mit einem Sternchen (*) sind nur für Vereinsmitglieder nach Anmeldung ersichtlichhier klicken
Serientitel Prestige Series
Erscheinungsjahr 1997
Verkaufspreis Bitte einloggen um den Preis anzuzeigen.hier klicken
Komponist Sparke, Philip
Schwierigkeitsgrad 6
Selbstwahlliste-Grad A5 (Einstufung Österreich Stufe E); C5 (Einstufung Schweiz Höchstklasse); D6 (Einstufung Deutschland Höchstklasse)
Dauer 19:40
Zusatzinfo/Inhalt "Dance Movements" wurde von der United States Air Force Band in Auftrag gegeben und von ihr im Februar 1996 uraufgeführt. Das Werk ist eine Tour-de-Force für eine große Band und besteht aus vier kontinuierlichen Sätzen, denen Tanzrhythmen und Stimmungen zugrunde liegen. Der zweite Satz ist für die Holzbläser und der dritte für die Blechbläser. Gewinner des angesehenen "Sudler-Preises" für neue Musik für Blasorchester 1997.

de=Auswahlliste
Nr. Einzeltitel Dauer Tonbeispiel
1 Ritmico 3:21 hier klicken
2 Molto vivo (for woodwinds) 4:47 hier klicken
3 Lento (for brass) 4:13 hier klicken
4 Molto ritmico 6:59 hier klicken
Notenbeispiel Notenbeispiel hier klicken
Musterpartitur * MusterpartiturFelder mit einem Sternchen (*) sind nur für Vereinsmitglieder nach Anmeldung ersichtlichhier klicken
Tonbeispiel * MusterpartiturFelder mit einem Sternchen (*) sind nur für Vereinsmitglieder nach Anmeldung ersichtlichhier klicken
Videobeispiel * VideobeispielFelder mit einem Sternchen (*) sind nur für Vereinsmitglieder nach Anmeldung ersichtlichhier klicken
Im Musicainfo Radio anhören * Musicainfo RadioFelder mit einem Sternchen (*) sind nur für Vereinsmitglieder nach Anmeldung ersichtlichhier klicken
Lieferbar ja ja
ergänzender Text * ErgänzungstextFelder mit einem Sternchen (*) sind nur für Vereinsmitglieder nach Anmeldung ersichtlichhier klicken
Format/Umfang
Dance Movements - hier klicken Dance Movements (Blasorchester), Partitur und Stimmen
Dance Movements - hier klicken Dance Movements (Blasorchester), Partitur
2003 Midwest Clinic: Birmingham Symphonic Winds - hier klicken 2003 Midwest Clinic: Birmingham Symphonic Winds, Audio-CD
American Winds - hier klicken American Winds, Audio-CD
Great British Music for Wind Band #5: Venetian Spells - hier klicken Great British Music for Wind Band #5: Venetian Spells, Audio-CD
Jubiläums-CD - hier klicken Jubiläums-CD, 2 Audio-CDs  vergriffen   Restposten erhältlich 
Wind Dances - hier klicken Wind Dances, Audio-CD

Warenkorb Um diesen Artikel zu bestellen bitte einloggen (hier klicken).


Zurück zur letzten Suchmaske.

Zurück zur letzten Ergebnisliste.

* Felder mit einem Sternchen sind nur für Vereinsmitglieder nach Anmeldung ersichtlich.

Um die Musterpartituren anzusehen, benötigen Sie den Adobe Reader, den Sie kostenlos herunterladen können. Klicken Sie dazu auf den folgenden Link.

Adobe Reader

Um die Tonbeispiele anzuhören, benötigen Sie einen MP3-Spieler, den Sie kostenlos herunterladen können, z.B.:

Sie sind nicht angemeldet: registrieren oder einloggen
neueste Meldung in Musicainfo.blog
Musicainfo Instagram - hier klicken
Unsere Werbebanner | Für Verlage & Händler | Newsletter
Datensammlung Copyright 1983-2025 Helmut Schwaiger. Datenbankdesign und Websitegestaltung Copyright 2002-19 Robbin D. Knapp.